BOOK REVIEWS
Higher Education Expansion and Earnings Premium: A Comparative Study of Two Systems in China
Jin Jiang is Assistant Professor in the Department of Sociology at Hong Kong Baptist University, Kowloon Tong, Kowloon, Hong Kong (jiangjin@hkbu.edu.hk).
Hon-Kwong Lui (corresponding author) is Professor in the Department of Marketing and International Business at Lingnan University, Tuen Mun, Hong Kong (hklui@ln.edu.hk).
Introduction
After the global expansion of elementary and secondary schools in the 1950s (Meyer, Ramirez, and Soysal 1992), the higher education sector worldwide has experienced dramatic growth in recent decades (Schofer and Meyer 2005). Although the expansion of higher education seems to be a global trend, such expansion is less common in Asia (Hayhoe 1995; Neubauer, Mok, and Jiang 2017). Nevertheless, some East Asian economies, such as Japan and South Korea, recorded rapid expansions in higher education in the late twentieth century (Hannum et al. 2019).
Similarly, the Chinese mainland and the Hong Kong Special Administrative Region (Hong Kong, hereafter) embarked on an aggressive expansionary programme in higher education in the last few decades (Jung and Postiglione 2015; Jiang 2017). The Ministry of Education of the People’s Republic of China (MOE)
[1] issued in late 1998 the Action Plan for Vitalising Education in the Twenty-first Century, which stated that the government would increase the gross enrolment ratio of higher education (i.e., the total enrolment of higher education as a percentage of the population in the relevant age group) from 9.1% in 1997 to 11% in 2000, and would reach 15% by 2010. In 2019, the gross enrolment rate jumped to 51.6%.
[2] Hong Kong recorded a similar expansion during the same period as the enrolment ratio grew from over 30% in 2003 to 77% in 2018.
[3]
This aggressive expansion in both societies represents an exogenous shock in the supply of graduate workers to the labour market. Studies find that young people with a university degree have been experiencing difficulties in securing gainful employment in recent decades. Their main challenges and difficulties include unemployment or precarious work status (Bai 2006; Mok and Jiang 2018), the spatial mismatch between homes and jobs within a city (Brandtner, Lunn, and Young 2019), jobs with skills mismatched to their education (Dolado, Felgueroso, and Jimeno 2000; Li, Morgan, and Ding 2008), and the shrinking earnings premium of degree holders relative to those without a degree (Dolton and Vignoles 2000; Lui and Suen 2005). Brow, Lauder and Ashton (2011) highlight the “broken promise” of education and suggest that having a university degree does not guarantee individuals a competitive advantage in the labour market.
The experiences of recent young graduates in the labour market seem contradictory to perspectives on the rising earnings premium to education in a knowledge economy. On the demand side, the difficulties of graduate workers in securing high-paid jobs seemingly challenge the perspective of skill-biased technology change, suggesting that the demand for skilled labour will increase and raise the skill premium amidst a shift in production technology (Katz and Murphy 1992; Acemoğlu 2002). On the supply side, an exogenous supply shock leads to a lower earnings premium, which differs from the prediction of the human capital perspective that emphasises the positive role of educational attainment (Becker 1964; Mincer 1974; Hout 2012). The overall effect of the expansion in higher education will be determined by market forces.
Against this background, this paper aims to examine the returns to higher education amidst higher education expansion in the Chinese mainland and Hong Kong. Specifically, this study explores whether the earnings premium of university graduates decrease amidst an expansion of higher education, and whether the quality
[4] of recent graduate workers deteriorates vis-à-vis graduates of earlier cohorts. Given that the Hong Kong population consists predominantly of ethnic Chinese, they share certain sets of cultural values as Mainland Chinese. However, the current economic statuses, structures, and systems of both societies differ considerably. How does the labour market accommodate the supply shock and demand shift due to skill-biased technology change? This article examines the impact of a rapid expansion of higher education on the labour market for graduate workers in two economic systems but sharing the same cultural heritage. Both societies experienced rapid expansion in higher education in almost the same period, providing an excellent context to compare the changing earnings premium of higher education in two systems within one country.
Comparative cultural institutions and education systems: A brief review
It is widely known that Hong Kong gradually developed from an entrepôt to a highly service-oriented developed economy. On the contrary, the Chinese mainland developed exponentially since the adoption of the Open-door policy in December 1978 and became the second-largest economy in the world in 2010.
[5] Xi Jinping argues that the Chinese mainland has achieved its target of doubling the size of its economy between 2010 and 2020.
[6] While Hong Kong ranked second in the 2020 Index of Economic Freedom, Mainland China ranked 103
rd.
[7]
Figure 1 presents the gross enrolment rate in higher education between 1984 to 2016. Hong Kong currently has close to 80% of the relevant age cohort who have access to post-secondary education and 50% to degree education.
[8] In comparison, the Chinese mainland, with a population of 1.3 billion, had only 7.4 million tertiary students in 2000, but this number jumped to 45 million in 2018 with the gross enrolment rate increasing from 7.6% to 50% over the same period.
[9]
Figure 1. Gross enrolment rate (%) in higher education
Source: The World Bank,
World Bank Open Data: School enrollment, tertiary (% gross), 2022,
https://data.worldbank.org/indicator/SE.TER.ENRR (accessed on 7 September 2023).
With the rapid expansion of higher education, quality assurance has become a prime concern for governments. In the Chinese mainland, the MOE introduced a “Teaching Evaluation Programme of Undergraduate Education of Higher Education Institutions” (
putong gaodeng xuexiao benke jiaoxue gongzuo shuizhun pinggu fang’an (
shixing)
普通高等學校本科教學工作水準評估方案(
試行)) in 2002 to assess undergraduate education. In 2003, the same ministry then outlined plans for a quality assurance and reform project for higher education institutions.
[10] To oversee quality assurance efforts, the Higher Education Evaluation Centre was established in 2004. This centre is responsible for developing guidance and methods for quality assessments, conducting policy research and training, and implementing quality assessments (Wang 2014). Moreover, at the regional level, provincial education evaluation centres and specialised agencies were established to assess the quality of higher education institutions (Li 2010).
Under the aegis of the University Grants Committee (UGC), the Quality Assurance Council (QAC) in Hong Kong was established in 2007 to assist in ensuring the quality of all degree and sub-degree programmes offered by UGC-funded universities.
[11] For programmes offered by the self-financing sector, the Hong Kong Council for Accreditation of Academic and Vocational Qualifications (HKCAAVQ) was established in 1990 to assess and accredit degree programmes offered by local non-university institutions.
[12]
The Chinese mainland and Hong Kong share a common cultural heritage influenced by Confucian philosophy (Hannum et al. 2019). Confucianism encourages examinations and qualifications which are considered to lead to well-paid jobs and higher social positions (Ramesh 2004). This perspective explains the heavily examination-oriented and highly competitive education systems in both places (Hannum et al. 2019). Since higher education remains highly restrictive, its access is a symbol of high social status. Marginson (2016) argues that the expansion of higher education is driven by families’ ambitions to advance or maintain social position, but that it does not guarantee equal social access to elite institutions. Liu and Gao (2015) find that family capital has a positive relationship with the quantity and quality of higher education obtained by children (see also Zhou, Moen, and Tuma 1998). Both societies highly value tertiary education, and parents often send their children to receive supplementary education, which leads to a proliferation of tutorial schools and private tutoring (Bray 2013; Liu and Bray 2020).
Literature review and hypotheses
The expansion of higher education directly affects the quantity and quality of graduate workers in the labour market. In addition to an exogenous supply shock, the importance of education quality has been carefully scrutinised by various researchers (Bedi and Edwards 2002; Lui and Suen 2005; Zhong 2011). This section summarises earlier studies in the quantitative and qualitative approaches in explaining the relationship between higher education expansion and earnings premium.
Quantitative approach
Under the quantitative approach, two main perspectives explain why a substantial increase in university-educated workers in the labour market results in shrinking earnings premium, namely, the positional good and oversupply perspectives.
The premise of the positional good perspective is the idea that an educational credential is a positional good (Hirsch 1976; Frank 1985; Smith 1986). The “market value” of an educational credential in the labour market is determined by its relative position within the hierarchical educational credentials (van de Werfhorst 2009). If few people have a university degree, the degree becomes valuable. However, when the supply of university-educated workers substantially increases, the “market value” (i.e., positional advantage) of a university degree may decrease dramatically (Smith 1986). Scholars applied this perspective in interpreting the findings from different countries, such as in comparative studies of employment opportunities for tertiary graduates in Central and Eastern European countries (Ilieva-Trichkova and Boyadjieva 2016), Bulgaria (Boyadjieva and Ilieva-Trichkova 2015), the United States, the Netherlands (van de Werfhorst 2009), and China (Mok and Wu 2016).
A related approach to explaining the consequences of the increasing supply of graduate workers amid higher education expansion is the oversupply perspective. It suggests that when the number of workers exceeds the demand, significant challenges are created for graduate employment because the number of available vacancies in managerial or professional employment positions fails to keep up with the expansion (Dolton and Vignoles 2000; Wu 2010; Kiersztyn 2013). Discussions of the oversupply perspective usually involve the ideas of university graduates having more education than is required for their jobs (overeducation) and their knowledge and skills mismatched with their work roles (job mismatch) (Kiersztyn 2013).
A related consequence of the surging quantity of degree graduates is the
crowding-out effect (Dolado, Felgueroso, and Jimeno 2000; Mok and Wu 2016). In the early twenty-first century, the manufacturing industry expanded rapidly, and the market required a large number of blue-collar workers from vocational-oriented institutions. However, the expansion of higher education produced many graduates who did not match market needs. The imbalance between supply and demand in the market has led to a decline in the salaries of university graduates (Ye, Wu, and Yang 2018). Those who have managed to secure gainful employment are more likely to be forced to accept lower-value-added service sector jobs (Dolton and Vignoles 2000). Given that the jobs originally designated for lower-educated workers were taken up by skilled workers, lower-educated workers may be crowded out from the lower-value-added jobs or even displaced from the market, i.e., the crowding-out effect.
Qualitative approach
While the quantitative approach emphasises the consequence of an increasing supply of degree holders in the labour market, the qualitative approach focuses on the decreasing quality of university graduates during higher education expansion, leading to the shrinking earnings premium of degree holders. As a core perspective of the qualitative approach, the perspective of
deteriorating quality suggests that an expansion of higher education tends to reduce the quality of university graduates for three reasons.
Firstly, universities may fail to effectively cope with the growth of enrolment, which may hurt the quality of teaching and learning. Owing to the rapidly expanded higher education system, universities may not be able to meet the demands of the increasing number of students. High student enrolment has resulted in a shortage of facilities, leading students to compete for scarce higher education resources. School quality (such as the quality of the teachers, school infrastructure, and facilities) is found to be an important determinant of earnings, particularly in low-income countries (Bedi and Edwards 2002). Labour markets recognise school quality as a productive investment and reward it with higher wages (Juhn, Kim, and Vella 2005). Thus, a shortage of facilities and scarce higher education resources resulting from education expansion has not only led to the deteriorated quality of university graduates but also, consequently, to a decrease in their earnings premium.
Secondly, in addition to the shortage of facilities, teaching quality is also a concern amidst higher education expansion. One example is English teaching in universities in the Chinese mainland. A remarkable number of students with various levels of English proficiency enrolling in universities has made English teaching time-consuming and inefficient because teachers cannot easily balance teaching students with mixed language proficiencies (Gao 2018).
Furthermore, the expansion of university admission quotas has resulted in the enrolment of students who may not have met the previous eligibility criteria for higher education (Lui and Suen 2005). These new entrants into universities demonstrate lower quality compared to earlier cohorts (Hu and Hibel 2015; Xing, Yang, and Li 2018). In other words, as a higher percentage of relevant age groups gain access to higher education, the average quality of students declines (Knight, Deng, and Li 2017). Therefore, a decrease in the university earnings premium reflects the lower quality and lower productivity of employees in the labour market (Bedi and Edwards 2002; Zhong 2011).
Research gaps
Despite the different emphases, both the quantitative and qualitative approaches explain how the expansion of higher education leads to challenges for university graduates in the labour market, particularly the decrease in their earnings. However, it remains unknown which approach better explains the changing earnings of university graduates amidst higher education expansion in the Chinese mainland and Hong Kong. To answer this question, an empirical study is needed to directly compare these two approaches and to overcome two main methodological limitations of earlier studies.
On the one hand, a substantial number of previous studies of higher education massification and graduate employment have used time-based descriptive analysis (Mok and Wu 2016; Mok and Jiang 2018) or regression analysis (Dolton and Vignoles 2000; Chan and Yang 2015) to document the changes of graduate employment over time. However, given that time-based analyses may mix the effects of various factors (including unobserved characteristics) that change over time, the estimated impacts may be biased. On the other hand, as the purchasing power of income may change over time, the increase or decrease in income may reflect fluctuating price levels instead of changes in the premium.
Therefore, this study focuses on analysing the earnings premium of degree holders versus upper secondary education graduates – in other words, the average difference in earnings between degree holders and those without a degree. Since both graduate and upper secondary workers are subject to the same economic environment as well as price levels, such an approach can avoid the possible effect of inflation or deflation. Most importantly, this study adopts the Difference in differences (DiD) method to examine the difference in premiums before and after the expansion. The analysis compares the earnings premium of people from different age groups
[13] who have or have not experienced the different stages of higher education expansion in the Chinese mainland and Hong Kong.
The DiD approach assumes the two groups being studied (i) have no compositional change over time, and (ii) have parallel trends in their outcome (Roth et al. 2023). Although it may be a good idea to use those who only completed nine-year compulsory education as the control group, most people completed upper secondary school. As discussed earlier, close to 80% of the relevant age cohort have access to post-secondary education in Hong Kong, and the composition of the upper secondary group may have been affected by the expansion. For comparison purposes, the Mainland sample also uses upper secondary as the reference group. Readers are reminded to take note of this potential violation of one of the assumptions in interpreting the results. However, this approach has been extensively used in estimating the impacts of education reforms worldwide (Schwerdt and Woessmann 2020). It should be noted that, as the expansion in higher education enables more upper-secondary graduates to access post-secondary education, the average quality of the remaining upper secondary graduates is likely to be lower than earlier cohorts. Assuming the quality of university education remains the same, we should observe a higher earnings premium vis-à-vis earlier cohorts. If we observe a lower earnings premium, it may therefore be due to a deterioration in the quality of university education.
[14] The following subsection explains how this study leverages the DiD method in formulating hypotheses for the quantitative approach and qualitative approach concerning the impact of higher education expansion on earnings premium.
Hypotheses
According to the above discussions, the rapid expansion of higher education significantly affects the graduate earnings premium in two major ways. The crowding-out effect will affect all degree holders, whereas the quality effect only affects people who have obtained their degrees since the expansion programme began. If the relative earnings of degree holders who recently graduated from universities in the two societies fall more sharply than do the relative earnings of degree holders who graduated earlier, one can conclude that the quality effect is in operation. If, by contrast, the changes in earnings premium for both groups are of similar magnitude, the crowding-out effect will be the better explanation for the shrinking premium.
We suppose the mean log earnings of early university graduates, new graduates who experienced the expansion, early upper secondary graduates (same age cohort of early university graduates), and new upper secondary graduates (same age cohort of new graduates) in period 0 are

and

respectively. The university earnings premium is measured by the difference in mean log earnings between university graduates and upper-secondary graduates. For example, the premium for early graduates in period 0 is

If a decline in earnings premium is due to the crowding-out effect, we should observe more or less the same DiD in mean log earnings (Lui and Suen 2005). In other words, the difference in the earnings premium of early university graduates between periods 1 and 0 (DiD value of early graduates) should be quite similar to the difference in the premiums of new graduates between the same periods 1 and 0 (DiD value of new graduates) for the hypothesis to be verified.
The crowding-out effect hypothesis (DiD value of early graduates is more or less the same as DiD value of new graduates) is:

(Hypothesis 1)
By contrast, if the declining earnings premium is due to decreasing quality, we should observe a larger DiD in recent cohorts than in the early one. In other words, the quality effect hypothesis suggests a declining earnings premium of new graduates experiencing a recent expansion of period 1 due to their deteriorating quality. This finding means that the difference in the earnings premium of early university graduates between periods 1 and 0 (DiD value of early graduates) is larger than the difference in the premium of new graduates between the same periods 1 and 0 (DiD value of new graduates):
The quality effect hypothesis (DiD value of new graduates is smaller than DiD value of new graduates) is:

(Hypothesis 2)
Research methods
Datasets
The study draws on survey data from the Chinese mainland and the 5% population by-census data for Hong Kong. The data from the Chinese mainland are extracted from a nationally representative survey dataset, namely, the Chinese General Social Survey (CGSS) of 2006 and 2015.
[15] CGSS is a large nationwide social survey programme that provides a unique opportunity to examine the changes of return to higher education in the most recent 10 years amid the higher education expansion in the Chinese mainland.
For Hong Kong, we obtained the 5% random sub-sample of the 2006 and 2016 population by-censuses from the Census and Statistics Department of the Hong Kong SAR Government. Approximately one-tenth of all living quarters were sampled, and all households therein were included in the by-census. Details may be found in the technical report associated with each by-census.
[16]
This study uses a restrictive sample of respondents in the working population aged 21-40 in 2006 and 2015 for CGSS and in 2006 and 2016 for Hong Kong by-census data, respectively. Given that Hong Kong attracts graduate workers from all over the world, we only include those who were born in the Chinese mainland or Hong Kong in our analysis to make the comparison more meaningful by minimising potential cultural differences in the two sets of data. Given that this study examines the earnings premiums of university degree holders relative to upper secondary graduates, this study further restricted the sample to the young working population (aged 21-40 in 2006 or 2015/2016) of upper secondary education level or above.
Variables
The dependent variable of this study is the natural logarithm of monthly main employment income. Given that both samples pooled data from two waves, the dummy variable of 2015 (Chinese mainland sample) / 2016 (Hong Kong sample) is included to indicate the year (2006 as the reference group). The variable of higher education attainment is measured by those having a university degree or above, and the reference group is those with upper secondary education, given that the analysis sample is restricted to respondents with upper secondary education or above. The DiD variable measures the difference in university earnings premiums (relative to upper secondary graduates) in different stages of higher education expansion.
This study includes two main sets of employment-related variables: employment status and years of working experience. Working experience is imputed as age minus years of schooling minus six, assuming individuals enter the labour market upon graduation.
Demographic characteristics, namely, gender and marital status, are also considered. Given the special social context of both societies, the study controls the status of the Chinese household registration (
hukou 户口 with rural
hukou as the reference group) and area of residence in the sample of the Chinese mainland, and whether the respondent was born in Mainland China in analysing the Hong Kong dataset.
Model
This study adopts the DiD model to examine the earnings premiums of university degree holders of several age cohorts in Hong Kong and the Chinese mainland. Drawing on the DiD strategy, it can compare the two main differences. Firstly, this study compares the earnings premiums of degree holders versus those without a degree (i.e., upper secondary education graduates). Secondly, this study compares the earnings premiums of higher education in young cohorts who experienced different stages of expansion.
Specifically, this study compares the earnings premiums of individuals of the same age cohorts in 2006 with those in 2015 (Chinese mainland sample) and 2016 (Hong Kong sample) respectively. To examine the effect of the expansion of higher education, we focus our analysis on four age cohorts, i.e., aged 21 to 25, 26 to 30, 31 to 35, and 36 to 40, as well as a pooled age group 21 to 40. Given that these cohorts experienced different stages of higher education expansion or did not experience any expansion, the comparison of their earnings premiums across age cohorts and between two years reveals the effects of educational expansion on the earnings premiums of higher education.
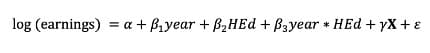
For each cohort, the regression model with DiD strategy is as follows:

(Hypothesis 3)
where log (earnings) indicates the logarithm transformation of the income of an individual, and the dummy variable
year equals one if the observations come from the second wave of the data (i.e., 2015 survey of the Chinese mainland, or 2016 by-census of Hong Kong). The dummy variable
HEd equals one if an individual is a university degree holder, and it equals zero if an individual is an upper-secondary graduate. The coefficient ß
2 indicates the log (earnings) premium of university degree holders over upper secondary graduates.
The coefficient ß
3 captures the interaction effect between
year and
HEd. This term is the DiD that indicates the effect of higher education expansion on the earnings premiums of university degree holders who experienced a certain stage of expansion.
X is a vector of control covariates including employment-related variables and individual demographic characteristics as outlined in the subsection of variables, and
ε is the error term.
Results
Higher education pays off after the expansion
Through this study, we examine the earnings premiums of graduate workers relative to upper-secondary graduates after controlling employment variables and individual characteristics. Table 1 presents the transformed coefficient estimates of the degree holder dummy
HEd and the DiD results for the four cohorts and pooled samples for the Chinese mainland. The estimates of earnings premiums are transformed coefficients of Table 2, showing how much degree holders earn more than those without a degree. Table 1 shows that the earnings premium of higher education is positive and significant for most cohorts, suggesting that degree holders on average earn more than upper-secondary graduates in the Mainland.
Table 1. Earnings premiums for degree holders vis-à-vis upper secondary graduates in the Chinese mainland
| |
Earnings premium |
Differences in differences (DiD value) |
| Aged 21-40 (overall) |
| 2006 |
0.666*** |
N.A. |
|
(0.059) |
| 2015 |
0.500*** |
− 0.167* |
|
(0.057) |
(0.076) |
| A. Aged 21-25 |
| 2006 |
0.835*** |
N.A. |
|
(0.172) |
| 2015 |
0.296 |
− 0.540** |
|
(0.183) |
(0.187) |
| B. Aged 26-30 |
| 2006 |
0.796*** |
N.A. |
|
(0.136) |
| 2015 |
0.587*** |
− 0.209 |
|
(0.130) |
(0.132) |
| C. Aged 31-35 |
| 2006 |
0.448** |
N.A. |
|
(0.155) |
| 2015 |
0.538*** |
0.090 |
|
(0.138) |
(0.151) |
| D. Aged 36-40 |
| 2006 |
0.559*** |
N.A. |
|
(0.143) |
| 2015 |
0.685*** |
0.126 |
| |
(0.147) |
(0.145) |
Note: Earnings premiums were estimated from DiD methods while controlling for respondents’ gender,
hukou, marital status (single, married, and once married), working experience, and area of residence (east, central, west, northeast). Please see full models in Table 2. Standard errors in parentheses ***
p < 0.001, **
p < 0.01, *
p < 0.05, +
p < 0.1.
Source: authors.
Table 2. DiD models of earnings premium for degree holder
vis-à-vis upper secondary education graduates in the Chinese mainland
|
Model 1 |
Model 2 |
Model 3 |
Model 4 |
Model 5 |
| Aged
(overall) |
Aged 21-25 |
Aged 26-30 |
Aged 31-35 |
Aged 36-40 |
| Year 2015 |
0.949*** |
0.804*** |
0.960*** |
1.079*** |
0.921*** |
|
(0.049) |
(0.128) |
(0.092) |
(0.093) |
(0.085) |
| Higher education |
0.666*** |
0.835*** |
0.796*** |
0.448** |
0.559*** |
| (ref. = UppEd.) |
(0.059) |
(0.172) |
(0.136) |
(0.155) |
(0.143) |
| Difference in |
− 0.167* |
− 0.540** |
− 0.209 |
0.090 |
0.126 |
| differences (DiD) |
(0.076) |
(0.187) |
(0.132) |
(0.151) |
(0.145) |
| Female |
− 0.221*** |
− 0.082 |
− 0.271*** |
− 0.332*** |
− 0.236*** |
| (ref. = male) |
(0.035) |
(0.093) |
(0.063) |
(0.066) |
(0.064) |
| Marital status (ref. = single) |
|
|
|
| Married |
− 0.118* |
0.139 |
− 0.234*** |
− 0.170 |
− 0.014 |
|
(0.049) |
(0.107) |
(0.067) |
(0.123) |
(0.159) |
| Once married |
− 0.052 |
− 0.398 |
− 0.395 |
0.063 |
0.029 |
|
(0.123) |
(0.825) |
(0.266) |
(0.213) |
(0.223) |
| Employment status (ref. = employee) |
|
|
| Employer |
0.462*** |
0.271 |
0.446*** |
0.430*** |
0.578*** |
|
(0.068) |
(0.246) |
(0.114) |
(0.121) |
(0.120) |
| Self-employed |
0.348*** |
0.177 |
0.352+ |
0.442** |
0.289* |
|
(0.088) |
(0.226) |
(0.187) |
(0.161) |
(0.143) |
| Years of working experience |
0.114*** |
0.389*** |
− 0.013 |
− 0.171 |
0.175 |
| (0.014) |
(0.092) |
(0.090) |
(0.156) |
(0.226) |
| Years of working experience square |
− 0.004*** |
− 0.035*** |
0.003 |
0.006 |
− 0.005 |
| (0.001) |
(0.011) |
(0.005) |
(0.006) |
(0.006) |
| Urban hukou (ref. = rural hukou) |
0.104* |
0.039 |
0.122 |
0.207* |
0.021 |
| (0.047) |
(0.104) |
(0.077) |
(0.095) |
(0.109) |
| Region (ref. = east) |
|
|
|
|
|
| Central |
− 0.454*** |
− 0.356** |
− 0.330*** |
− 0.466*** |
− 0.457*** |
|
(0.047) |
(0.115) |
(0.090) |
(0.089) |
(0.083) |
| West |
− 0.558*** |
− 0.384** |
− 0.563*** |
− 0.589*** |
− 0.561*** |
|
(0.047) |
(0.122) |
(0.084) |
(0.090) |
(0.084) |
| Northeast |
− 0.558*** |
− 0.583*** |
− 0.558*** |
− 0.548*** |
− 0.467*** |
|
(0.063) |
(0.166) |
(0.116) |
(0.110) |
(0.118) |
| Constant |
9.095*** |
8.583*** |
9.669*** |
10.927*** |
8.183*** |
|
(0.084) |
(0.258) |
(0.411) |
(1.076) |
(2.162) |
|
|
|
|
|
|
| Observations |
1,704 |
346 |
481 |
444 |
433 |
| R-squared |
0.491 |
0.245 |
0.525 |
0.602 |
0.582 |
|
|
|
|
|
|
|
|
|
|
|
Note: UppEd. is short for upper secondary education. Standard errors in parentheses ***
p < 0.001, **
p < 0.01, *
p < 0.05.
Source: authors.
Table 3 presents the earnings premiums of degree holders and the difference in earnings premiums (i.e., graduate workers vs. upper secondary graduates) from 2016 to 2006 (DiD value) for the four cohorts and pooled samples for Hong Kong. The estimates were transformed from the coefficients of the degree holder dummy
HEd and the DiD results in Table 4. The first column of Table 3 indicates that university graduates enjoyed a handsome return on education, and all the coefficient estimates of earnings premiums are statistically significant at 0.001 level, with the values range from 0.710 to 0.893. Significant earnings premiums of different age cohorts in both societies suggest that higher education pays off for individuals who experience different stages of expansion. The findings echo earlier studies about the positive effect of human capital (Becker 1964; Mincer 1974; Hout 2012).
Table 3. Earnings premium for degree holders vis-à-vis upper secondary graduates in Hong Kong
| |
Earnings premium |
Differences in differences |
| Aged 21-40 (overall) |
| 2006 |
0.754*** |
N.A. |
|
(0.005) |
| 2016 |
0.759*** |
0.005 |
|
(0.006) |
(0.008) |
| A. Aged 21-25 |
| 2006 |
0.893*** |
N.A. |
|
(0.018) |
| 2016 |
0.768*** |
− 0.125*** |
|
(0.021) |
(0.017) |
| B. Aged 26-30 |
| 2006 |
0.731*** |
N.A. |
|
(0.014) |
| 2016 |
0.710*** |
− 0.021 |
|
(0.015) |
(0.013) |
| C. Aged 31-35 |
| 2006 |
0.753*** |
N.A. |
|
(0.016) |
| 2016 |
0.811*** |
0.059*** |
|
(0.016) |
(0.014) |
| D. Aged 36-40 |
| 2006 |
0.829*** |
N.A. |
|
(0.019) |
| 2016 |
0.827*** |
− 0.002 |
| |
(0.019) |
(0.017) |
Note: Earnings premiums were estimated from DiD methods while controlling for respondents’ gender,
hukou, marital status (single, married, and once married), working experience, and place of birth. Please see full models in Table 4. Standard errors in parentheses ***
p < 0.001, **
p < 0.01, *
p < 0.05,
+ p < 0.1.
Source: authors.
Table 4. DiD models of earnings premium for degree holder vis-à-vis upper secondary education graduates in Hong Kong
|
Model 1 |
Model 2 |
Model 3 |
Model 4 |
Model 5 |
| Aged
(overall) |
Aged 21-25 |
Aged 26-30 |
Aged 31-35 |
Aged 36-40 |
| Year 2016 |
0.263*** |
0.398*** |
0.299*** |
0.200*** |
0.258*** |
|
(0.006) |
(0.014) |
(0.010) |
(0.010) |
(0.012) |
| Higher education |
0.754*** |
0.893*** |
0.731*** |
0.753*** |
0.829*** |
| (ref. = UppEd.) |
(0.005) |
(0.018) |
(0.014) |
(0.016) |
(0.019) |
| Difference in |
0.005 |
− 0.125*** |
− 0.021 |
0.059*** |
− 0.002 |
| differences (DiD) |
(0.008) |
(0.017) |
(0.013) |
(0.014) |
(0.017) |
| Female |
− 0.086*** |
− 0.051*** |
− 0.047*** |
− 0.103*** |
− 0.126*** |
| (ref. = male) |
(0.004) |
(0.008) |
(0.006) |
(0.007) |
(0.008) |
| Marital status (ref. = single) |
|
|
|
|
| Married |
0.138*** |
0.102*** |
0.123*** |
0.159*** |
0.167*** |
|
(0.004) |
(0.019) |
(0.008) |
(0.007) |
(0.009) |
| Once married |
0.043** |
0.095 |
0.017 |
0.071** |
0.070** |
|
(0.014) |
(0.085) |
(0.035) |
(0.023) |
(0.022) |
| Employment status (ref. = employee) |
|
|
| Employer |
0.175*** |
0.247*** |
0.180*** |
0.135*** |
0.188*** |
|
(0.011) |
(0.051) |
(0.023) |
(0.020) |
(0.020) |
| Self-employed |
− 0.251*** |
− 0.325*** |
− 0.183*** |
− 0.205*** |
− 0.290*** |
|
(0.010) |
(0.028) |
(0.019) |
(0.018) |
(0.020) |
| Years of working experience |
0.120*** |
0.313*** |
0.108*** |
0.096*** |
0.083*** |
|
(0.001) |
(0.006) |
(0.007) |
(0.013) |
(0.021) |
| Years of working experience square |
− 0.003*** |
− 0.021*** |
− 0.004*** |
− 0.003*** |
− 0.002*** |
|
(0.000) |
(0.001) |
(0.000) |
(0.000) |
(0.001) |
| Born in the Chinese mainland (ref. = no) |
− 0.101*** |
− 0.090*** |
− 0.081*** |
− 0.080*** |
− 0.186*** |
| (0.005) |
(0.011) |
(0.008) |
(0.009) |
(0.011) |
| Constant |
8.323*** |
7.875*** |
8.443*** |
8.484*** |
8.474*** |
|
(0.008) |
(0.022) |
(0.034) |
(0.086) |
(0.197) |
|
|
|
|
|
|
| Observations |
91,196 |
17,477 |
24,403 |
25,962 |
23,354 |
| R-squared |
0.401 |
0.260 |
0.305 |
0.334 |
0.349 |
|
|
|
|
|
|
|
|
Note: UppEd. is short for upper secondary education. Standard errors in parentheses ***
p < 0.001, **
p < 0.01, *
p < 0.05.
Source: authors.
Declining earnings premiums of fresh graduates
Interestingly, Table 1 shows that for the pooled sample, i.e., respondents aged 21-40, the earnings premium of a university degree in the Chinese mainland dropped significantly from 0.666 in 2006 to 0.500 in 2015. Although the Chinese mainland experienced enviable economic growth during the reported period, the earnings gap between university graduates and upper-secondary graduates narrowed. The coefficient of the DiD variable (i.e., the change in premium from the year 2015 to 2006) is − 0.167, suggesting that the university earnings premium of graduates aged 21-40 in 2015 is lower than that of graduates of the same age in 2006 (i.e., the shrinking earnings premium).
However, if we divide the pooled sample into four cohorts, the results in Table 1 tell a different story. For the youngest cohort aged 21-25, the earnings premium plunged from a highly significant estimate of 0.835 in 2006 to a statistically insignificant estimate of 0.296 in 2015. Thus, university graduates aged 21-25 in 2006, on average, earn 130% (exponentiation of the coefficient minus 1, i.e., e
0.835 − 1) more than upper secondary graduates, while the earnings premium of recent graduates aged 21-25 in 2015 is only 34% (i.e., e
0.296 − 1).
As for the second youngest cohort, the earnings premium of graduates aged 26-30 in 2006 was 122% (i.e., e
0.796 − 1) and the premium in 2015 was 80% (i.e., e
0.587 − 1). The difference in earnings premium between these two periods (DiD value) recorded a much lower drop of − 0.209 and is statistically insignificant, reflecting a smaller and insignificant difference in earnings between 2006 and 2015. By contrast, the DiD value of the youngest cohort (i.e., graduates aged 21-25) is statistically significant and negative. The fresh graduates 21-25 years of age in 2015 were the cohort most affected by shrinking earnings premium.
Notably, this pattern of declining earnings premiums was reversed for the older cohorts. The earnings premium increased by 0.090 and 0.126 for the cohorts aged 31-35 and 36-40, respectively. Although the eldest cohort (aged 36-40) was the only group in 2006 and 2015 not affected by the expansion in higher education in the Mainland, this group recorded the largest DiD value. The findings suggest that the first stage of educational expansion may have been timely in meeting the demand for well-educated workers, echoing existing studies on skill-biased technology change with an emphasis on rising skill premiums in the great demand for skilled labour during technology change (Katz and Murphy 1992; Acemoğlu 2002).
For the pooled sample aged 21-40 in Hong Kong, the earnings premium remained stable in 2006 and 2016. The computed DiD value is negligibly small and statistically insignificant. Similar to the findings in the Chinese mainland, once we divided the pooled sample into four cohorts, we identified different patterns among different cohorts.
For fresh graduate workers aged 21-25, their earnings premium fell sharply from 144% (i.e., e
0.893 − 1)
[17] in 2006 to 116% (i.e., e
0.768 − 1) in 2016. The DiD value is − 0.125, which is statistically significant at the 0.001 level. This result suggests that these fresh graduates were most affected by the recent educational expansions in Hong Kong, and the narrowing earnings gap vis-à-vis upper secondary graduates is potentially due to the quality effect. However, the DiD value of − 0.125 is much smaller than the value of − 0.540 for their counterparts in the Chinese mainland. In Hong Kong, government-funded degree programmes are closely monitored by the University Grants Committee, whereas self-financed degree programmes are subject to stringent validation by the HKCAAVQ. Hence, arguably, the quality of the degree programmes offered in Hong Kong can be maintained at a high level despite the rapid expansion in higher education. However, the validity of this statement is subject to careful investigation by another study.
For the second cohort aged 26-30, the DiD value is small (− 0.021) and statistically insignificant. Similar results are observed for the eldest cohort aged 36-40. Interestingly, the earnings premium of the cohort aged 31 to 35 is significantly positive at the 0.001 level, although the coefficient of 0.059 is relatively small. Thus, the first cohort of university graduates produced by the expansionary programme of higher education enjoyed higher earnings premiums than those who did not experience the expansion.
Large differences in earnings premium between young and older cohorts
This study further compares the earnings premiums of university degree holders of various cohorts in the Chinese mainland and Hong Kong in the figure. Drawing on the results of Tables 2 and 4, we present the earnings premium of higher education in percentage terms (instead of the parameter estimates) in the y-axis and the age cohorts in the x-axis. The figures show that the distinctive pattern of the younger cohorts vis-à-vis the elder cohorts is consistent in both societies, despite the changes observed in the Chinese mainland seeming to be more drastic than those in Hong Kong.
Figure 2. Earnings premium for university degree holders in the Chinese mainland and Hong Kong, by selected age cohorts, in 2006 and 2015

Source: authors.
Figure 3. Earnings premium for university degree holders in Hong Kong, by selected age cohorts, in 2006 and 2016

Note: The figures present the exponentiated transformation of estimates of earnings premiums from Tables 2 and 4.
Source: authors.
The findings suggest that the quality effect (hypothesis 2) is supported, but not the crowding-out effect approach (hypothesis 1). Hypothesis 1 emphasises that the increase in labour supply is expected to have an impact on all graduate workers, and it expects the changes in earnings premiums of various cohorts to be of similar magnitude. However, the findings shown in the figure suggest that there are significant changes in the earnings premium of the youngest cohort in the Chinese mainland and Hong Kong, but not of the older cohorts. Specifically, the earnings premiums of recently graduated degree holders have fallen sharply compared with the earnings premiums of those who graduated earlier, while the changes in earnings premiums of older cohorts are statistically insignificant at 0.05 level. In other words, only more recent graduate workers experienced a large decline in their earnings premium. These findings provide supportive evidence for the approach about the quality of the university graduates (hypothesis 2), which suggests that the quality of recent degree holders has decreased.
In sum, the key findings show that although degree holders earn more than those without a degree in both societies, the earnings premiums of the younger cohorts who experienced the recent higher education expansion are much smaller than the premiums of earlier cohorts. Such findings support the quality effect in explaining the shrinking earnings premiums of recent graduate workers.
The declining quality of degree graduates can be attributed to the potential decrease in teaching quality and student quality. In the Chinese mainland, the student-teacher ratio of the universities increased from 9.8:1 in 1997 to 17.3:1 in 2007 and 17.5:1 in 2017 after the higher education expansion.
[18] Similarly, in Hong Kong, publicly funded first-year first-degree places are limited by the government, but the number of degree programmes offered by self-financing institutions has increased significantly.
[19] This has resulted in a heavier teaching load in self-financing institutions. Maintaining the quality of teaching and learning has become challenging due to the increasing student-teacher ratio caused by higher education expansion.
Additionally, the expansion has provided more degree places to young individuals, including students who would not have been eligible for higher education if the system had not been expanded. Consequently, the overall quality of students attending higher education may decrease even if the average quality of university education remains the same. For instance, admission statistics in Hong Kong indicate a clear declining trend in the admission scores of almost all publicly funded university programmes.
[20]
Conclusion and discussion
This study examines how the earnings premiums of higher education have changed amidst the rapid expansion of higher education in two different economic systems in the same country. Drawing on the DiD methods, this study finds that despite a large earnings premium from attending university, for those who experienced recent higher education expansion, the returns declined. Given that Hong Kong is a more mature economy than the rapidly growing Mainland economy, the earnings premium of graduate workers recorded only a mild decrease. The findings provide supporting evidence for the perspective of deteriorating quality effects, especially in the case of Mainland China. In other words, as labour productivity is positively related to earnings, the decline in the quality of university education during higher education expansion appears to lower the productivity of young graduates, results in a shrinking earnings premium. This negative quality effect is more prevalent among Mainland graduate workers.
Over the past several decades, the Chinese mainland and Hong Kong have experienced dramatic economic growth and increasing income inequality. Given the important role of education in determining earnings, the research findings of possible deteriorating quality in higher education have important policy implications. Governments across the border should revisit the policies of higher education development and shift the emphasis from quantity to quality. More importantly, attention should be paid to the quality assurance of higher education.
Furthermore, our finding of the declining earnings premium for recent university graduates echoes not only early studies about the challenges for young cohorts in the labour markets (e.g., Bai 2006; Mok and Jiang 2018) but also direct research and policy attention regarding the group of fresh graduates. Income inequality has been found to be one of the key determinants of subjective well-being (Wilkinson and Pickett 2009; Zhao 2012). In particular, the difficulties that young adults have experienced in the labour market were negatively associated with their life satisfaction and happiness (Chiu and Wong 2018; Kühner et al. 2021).
Chinese families, influenced by Confucian cultural beliefs, usually value education highly (Chen 2016). They view education as an important way of achieving upward mobility and invest heavily in it, despite the shrinking earnings premium (Marginson 2011). The recent expansion in higher education has led to a growing desire to attend a prestigious university. Further studies should therefore differentiate the premiums of various tiers of universities. Moreover, better measures are needed to directly test the qualitative and quantitative approaches to the shrinking earnings premiums in the Chinese mainland and Hong Kong.
The governments of Hong Kong and Mainland China are aware of the potential quality problem due to the expansion in higher education. To monitor the quality of all degree and sub-degree programmes offered by government-funded universities, the QAC of Hong Kong has completed two rounds of quality audits in 2011 and 2016, with the third cycle for 2022-2023.
[21] The Ministry of Education in the Chinese mainland oversees the development and reform of higher education, including the establishment, renaming, abolishment, and adjustment of higher education institutions. In recent years, it has terminated various degree programmes offered by local and overseas universities.
[22] This action indicates that the Chinese mainland now prioritises not only the expansion of higher education opportunities but also ensuring their quality.
Acknowledgements
We thank the two anonymous reviewers for their very thoughtful and constructive comments which significantly improved the quality of the paper. This research was supported by a Start-up Grant (No. 162660) from the Hong Kong Baptist University.
Manuscript received on 21 June 2021. Accepted on 31 August 2023.
References
ACEMOĞLU, Daron. 2002. “Technical Change, Inequality, and the Labor Market.”
Journal of Economic Literature 40(1): 7-72.
BAI, Limin. 2006. “Graduate Unemployment: Dilemmas and Challenges in China’s Move to Mass Higher Education.”
China Quarterly 185: 128-44.
BECKER, Gary S. 1964. “Investment in Human Capital: A Theoretical Analysis.”
Journal of Political Economy 70: 9-49.
BEDI, Arjun Singh, and John H. Y. EDWARDS. 2002. “The Impact of School Quality on Earnings and Educational Returns: Evidence from a Low-income Country.”
Journal of Development Economics 68(1): 157-85.
BIAN, Yanjie, and Lulu LI. 2012. “The Chinese General Social Survey (2003-8): Sample Designs and Data Evaluation.”
Chinese Sociological Review 45(1): 70-97.
BOYADJIEVA, Pepka, and Petya ILIEVA-TRICHKOVA. 2015. “Institutional Diversity and Graduate Employability: The Bulgarian Case.”
In Rosalind M. O. PRITCHARD, Matthias KLUMPP, and Ulrich TEICHLER (eds.),
Diversity and Excellence in Higher Education: Can the Challenges be Reconciled? Dordrecht: Sense Publishers. 153-71.
BRANDTNER, Christof, Anna LUNN, and Cristobal YOUNG. 2019. “Spatial Mismatch and Youth Unemployment in US Cities: Public Transportation as a Labor Market Institution.”
Socio-Economic Review 17(2): 357-79.
BRAY, Mark. 2013. “Benefits and Tensions of Shadow Education: Comparative Perspectives on the Roles and Impact of Private Supplementary Tutoring in the Lives of Hong Kong Students.”
Journal of International and Comparative Education 2(1): 18-30.
BROWN, Phillip, Hugh LAUDER, and David ASHTON. 2011.
The Global Auction: The Broken Promises of Education, Jobs, and Incomes. Oxford: Oxford University Press.
CHAN, Sheng-Ju, and Chi-Hua YANG. 2015. “The Employment of College Graduate: Changing Wage in a Massified Higher Education.”
In Jung Cheol SHIN, Gerard A. POSTIGLIONE, and Futao HUANG (eds.),
Mass Higher Education Development in East Asia: Strategy, Quality, and Challenges. Cham: Springer. 289-306.
CHEN, Wei-Wen. 2016. “The Relations between Filial Piety, Goal Orientations and Academic Achievement in Hong Kong.”
Educational Psychology 36(5): 898-915.
CHIU, Stephen Wing-kai, and Kevin Tze-wai WONG. 2018. “Happiness of Hong Kong Youth from 2000 to 2014: Empirical Evidence on the Differential Impact of Socioeconomic Conditions on Youth versus Other Age Groups.”
Journal of Youth Studies 21(3): 253-71.
DOLADO, Juan J., Florentino FELGUEROSO, and Juan F. JIMENO. 2000. “Youth Labour Markets in Spain: Education, Training, and Crowding-out.”
European Economic Review 44(4-6): 943-56.
DOLTON, Peter, and Anna VIGNOLES. 2000. “The Incidence and Effects of Overeducation in the UK Graduate Labour Market.”
Economics of Education Review 19(2): 179-98.
FRANK, Robert H. 1985.
Choosing the Right Pond: Human Behaviour and the Quest for Status. Oxford: Oxford University Press.
GAO, Ying. 2018. “Massification of Higher Education in China: Problems and Solutions.”
In Alfred M. WU, and John HAWKINS (eds.),
Massification of Higher Education in Asia: Quality, Excellence and Governance. Cham: Springer. 9-19.
HANNUM, Emily, Hiroshi ISHIDA, Hyunjoon PARK, and Tony TAM. 2019. “Education in East Asian Societies: Postwar Expansion and the Evolution of Inequality.”
Annual Review of Sociology 45(1): 625-47.
HAYHOE, Ruth. 1995. “An Asian Multiversity? Comparative Reflections on the Transition to Mass Higher Education in East Asia.”
Comparative Education Review 39(3): 299-321.
HIRSCH, Fred. 1976.
Social Limits to Growth. Cambridge: Harvard University Press.
HOUT, Michael. 2012. “Social and Economic Returns to College Education in the United States.”
Annual Review of Sociology 38(1): 379-400.
HU, Anning, and Jacob HIBEL. 2015. “Increasing Heterogeneity in the Economic Returns to Higher Education in Urban China.”
The Social Science Journal 52(3): 322-30.
ILIEVA-TRICHKOVA, Petya, and Pepka BOYADJIEVA. 2016. “Expansion of Higher Education and Graduate Employability: Data and Insights from Central and Eastern Europe.”
In Violaine DELTEIL, and Vassil Nikolaev KIROV (eds.),
Labour and Social Transformations in Central and Eastern Europe: Europeanization and Beyond. London: Routledge. 207-27.
JIANG, Jin. 2017. “Higher Education in China.”
Oxford Research Encyclopedia of Education.
https://doi.org/10.1093/acrefore/9780190264093.013.207
JUHN, Chinhui, Dae-il KIM, and Francis VELLA. 2005. “The Expansion of College Education in the United States: Is There Evidence of Declining Cohort Quality?”
Economic Inquiry 43(2): 303-15.
JUNG, Jisun, and Gerard A. POSTIGLIONE. 2015. “From Massification towards the Post-massification of Higher Education in Hong Kong.”
In Jung Cheol SHIN, Gerard A. POSTIGLIONE, and Futao HUANG (eds.),
Mass Higher Education Development in East Asia. Cham: Springer. 119-36.
KATZ, Lawrence F., and Kevin M. MURPHY. 1992. “Changes in Relative Wages, 1963-1987: Supply and Demand Factors.”
The Quarterly Journal of Economics 107(1): 35-78.
KIERSZTYN, Anna. 2013. “Stuck in a Mismatch? The Persistence of Overeducation during Twenty Years of The Post-Communist Transition in Poland.”
Economics of Education Review 32: 78-91.
KNIGHT, John, Quheng DENG, and Shi LI. 2017. “China’s Expansion of Higher Education: The Labour Market Consequences of a Supply Shock.”
China Economic Review 43: 127-41.
KÜHNER, Stefan, Jin JIANG, Zhouyi WEN, and Maggie LAU. 2021. “Labour Market Experience, Educational Attainment and Self-reported Happiness: Crowding-out amongst Young People in Hong Kong.”
Journal of Education and Work 34(3): 275-91.
LI, Fengliang, John W. MORGAN, and Xiaohao DING. 2008. “The Expansion of Higher Education, Employment and Over-education in China.”
International Journal of Educational Development 28(6): 687-97.
LI, Yuan. 2010. “Quality Assurance in Chinese Higher Education.”
Research in Comparative and International Education 5(1): 58-76.
LIU, Junyan, and Mark BRAY. 2020. “Evolving Micro-level Processes of Demand for Private Supplementary Tutoring: Patterns and Implications at Primary and Lower Secondary Levels in China.”
Educational Studies 46(2): 170-87.
LIU, Zhimin, and Yao GAO. 2015. “Family Capital Social Stratification, and Higher Education Attainment: An Empirical Study Based on Jiangsu Province.”
Chinese Education & Society 48(3): 218-30.
LUI, Hon‐Kwong, and Wing SUEN. 2005. “The Shrinking Earnings Premium for University Graduates in Hong Kong: The Effect of Quantity or Quality?”
Contemporary Economic Policy 23(2): 242-54.
MARGINSON, Simon. 2011. “Higher Education in East Asia and Singapore: Rise of the Confucian Model.”
Higher Education 61(5): 587-611.
——. 2016. “The Worldwide Trend to High Participation Higher Education: Dynamics of Social Stratification in Inclusive Systems.”
Higher Education: The International Journal of Higher Education Research 72(4): 413-34.
MEYER, John W., Francisco O. RAMIREZ, and Yasemin Nuhoḡlu SOYSAL. 1992. “World Expansion of Mass Education, 1870-1980.”
Sociology of Education 65(2): 128-49.
MINCER, Jacob. 1974.
Schooling, Experience, and Earnings. New York: Columbia University Press.
MOK, Ka Ho, and Jin JIANG. 2018. “Massification of Higher Education and Challenges for Graduate Employment and Social Mobility: East Asian Experiences and Sociological Reflections.”
International Journal of Educational Development 63: 44-51.
MOK, Ka Ho, and Alfred M. WU. 2016. “Higher Education, Changing Labour Market and Social Mobility in the Era of Massification in China.”
Journal of Education and Work 29(1): 77-97.
NEUBAUER, Deane E., Ka Ho MOK, and Jin JIANG (eds.). 2017.
The Sustainability of Higher Education in an Era of Post-massification. London: Routledge.
RAMESH, Mishra. 2004.
Social Policy in East and Southeast Asia: Education, Healthy, Housing and Income Maintenance. London: Routledge.
ROTH, Jonathan, Pedro H.C. SANT’ANNA, Alyssa BILINSKI, and John POE. 2023. “What’s Trending in Difference-in-Differences? A Synthesis of the Recent Econometrics Literature.”
Journal of Econometrics 235(2): 2218-44.
SCHOFER, Evan, and John W. MEYER. 2005. “The Worldwide Expansion of Higher Education in the Twentieth Century.”
American Sociological Review 70(6): 898-920.
SCHWERDT, Guido, and Ludger WOESSMANN. 2020. “Empirical Methods in the Economics of Education.”
In Steve BRADLEY, and Colin GREEN (eds.),
The Economics of Education (2
nd ed.). Cambridge: Academic Press. 3-20.
SMITH, Herbert L. 1986. “Overeducation and Underemployment: An Agnostic Review.”
Sociology of Education 59(2): 85-99.
van de WERFHORST, Herman G. 2009. “Credential Inflation and Educational Strategies: A Comparison of the United States and the Netherlands.”
Research in Social Stratification and Mobility 27(4): 269-84.
WANG, Li. 2014. “Quality Assurance in Higher Education in China: Control, Accountability and Freedom.”
Policy and Society 33(3): 253-62.
WILKINSON, Richard, and Kate PICKETT. 2009.
The Spirit Level: Why More Equal Societies Almost Always Do Better. London: Allen Lane.
WU, Xiaogang. 2010. “Voluntary and Involuntary Job Mobility and Earnings Inequality in Urban China, 1993-2000.”
Social Science Research 39(3): 382-95.
XING, Chunbing, Peng YANG, and Zhilong LI. 2018. “The Medium-run Effect of China’s Higher Education Expansion on the Unemployment of College Graduates.”
China Economic Review 51: 181-93.
YE, Lin, Alfred M. WU, and Xinhui YANG. 2018. “University Enrolment Expansion and Returns to Higher Education: Evidence from China.”
In Alfred M. WU, and John HAWKINS (eds.),
Massification of Higher Education in Asia: Quality, Excellence and Governance. Cham: Springer. 113-28.
ZHAO, Wei. 2012. “Economic Inequality, Status Perceptions, and Subjective Well-being in China’s Transitional Economy.”
Research in Social Stratification and Mobility 30(4): 433-50.
ZHONG, Hai. 2011. “Returns to Higher Education in China: What Is the Role of College Quality?”
China Economic Review 22(2): 260-75.
ZHOU, Xueguang, Phyllis MOEN, and Nancy B. TUMA. 1998. “Education Stratification in Urban China: 1949-94.”
Sociology of Education 71(3): 199-222.
[1] Ministry of Education of the People’s Republic of China (MOE) 中華人民共和國教育部, “面向21世紀教育振興行動計劃” (
Mianxiang 21 shiji jiaoyu zhenxing xingdong jihua, Action Plan for Vitalising Education in the Twenty-first Century), 1998,
http://old.moe.gov.cn//publicfiles/business/htmlfiles/moe/moe_177/200407/2487.html (accessed on 1 July 2020).
[2] MOE 中華人民共和國教育部, “2019年全國教育事業发展統計公報” (
2019 nian quanguo jiaoyu shiye fazhan tongji gongbao, Statistical bulletin on the development of education in China 2019), 2020,
www.moe.gov.cn/jyb_sjzl/sjzl_fztjgb/202005/t20200520_456751.html (accessed on 1 July 2020).
[3] It should be noted that the size of the relevant age cohort shrank while the number of subsidised first-year first-degree places remained unchanged in Hong Kong, which in turns has a positive effect on the enrolment rate,
ceteris paribus.
[4] What we call the “quality of the workers” in this article refers to the skills, education, experience and productivity of the labour force.
[5] Xiaojing Xing, “Cooperating with China the Best Way for Japan to Achieve Economic Recovery: Japanese Economist,”
Global Times, 10 June 2020,
https://www.globaltimes.cn/content/1191231.shtml (accessed on 13 September 2020).
[6] Frank Tang, “Coronavirus: China’s Xi Jinping Hints Beijing May Claim Victory in Doubling Economy in 2020, Despite Pandemic,”
South China Morning Post, 1 June 2020,
https://www.scmp.com/economy/china-economy/article/3086983/coronavirus-chinas-xi-jinping-hints-beijing-may-claim-victory (accessed on 13 September 2020).
[7] Terry Miller, Anthony B. Kim, and James M. Roberts, “2020 Index of Economic Freedom.” Washington: The Heritage Foundation, 2020, https://indexdotnet.azurewebsites.net/index/pdf/2020/book/chapter1.pdf (accessed on 13 September 2020).
[8] Education Bureau (Hong Kong SAR), “Policy Objectives,” 2020,
https://www.edb.gov.hk/en/edu-system/postsecondary/policy-objectives/index.html (accessed on 7 August 2023).
[9] Mini Gu, Rachel Michael, Claire Zheng, and Stefan Trines, “Education in China,”
World Education Services, 17 December 2019, https://wenr.wes.org/2019/12/education-in-china-3 (accessed on 13 September 2020).
[10] MOE 中華人民共和國教育部, “2003-2007年教育振興行動計劃” (
2003-2007 nian jiaoyu zhenxing xingdong jihua, 2003-2007 Education Revitalisation Action Plan), 2004, http://old.moe.gov.cn/publicfiles/business/htmlfiles/moe/moe_177/200407/2488.html (accessed on 19 September 2020).
[11] The University Grants Committee, “Quality audits of UGC-funded universities,” 2020,
https://www.ugc.edu.hk/eng/qac/quality/first_degree.html (accessed on 13 September 2020).
[12] Hong Kong Council for Accreditation of Academic and Vocational Qualifications (HKCAAVQ), “HKCAA as Predecessor of HKCAAVQ,”
https://www.hkcaavq.edu.hk/en/communication/anniversary_celebrations/HKCAA_as_Predecessor_of_HKCAAVQ/ (accessed on 4 March 2024).
[13] In the article, the age-groups cover those aged 21-40 in 2006 and 2015 for CGSS and in 2006 and 2016 for Hong Kong by-census data.
[14] With the potential compositional change in mind, even if we observe a stable earnings premium over time, the quality of degree education is likely to have deteriorated.
[15] The data are collected and distributed by the National Survey Research Centre at Renmin University of China, and were retrieved from
www.cnsda.org/ (accessed on 15 March 2024). See Bian and Li (2012) for documentation of the research design, sample properties, and quality control of the Chinese General Social Survey (CGSS) from 2003 to 2008.
[16] Census and Statistics Department (Hong Kong SAR), “Hong Kong 2016 Population By-census: Technical Report,” 2017, https://www.censtatd.gov.hk/en/data/stat_report/product/B1120099/att/B11200992016XXXXB0100.pdf (accessed on 6 March 2024).
[17] As the dependent variable of income is log-transformed in DiD models, the earnings premiums of university graduates were exponentiated values of estimates. The transformed estimates were further minus one to present how much more university graduates earn than upper secondary graduates.
[18] The World Bank, “World Bank Open Data: Pupil-teacher Ratio, Tertiary – China,” World Bank Open Data,
https://data.worldbank.org/indicator/SE.TER.ENRL.TC.ZS?locations=CN (accessed on 11 August 2023).
[19] Education Bureau (Hong Kong SAR), “Post-Secondary Education: Overview,” 31 March 2021,
https://www.edb.gov.hk/en/edu-system/postsecondary/index.html (accessed on 11 August 2023).
[20] Joint University Programmes Admissions System, “Admissions Scores of the 9 JUPAS Participating-institutions,”
https://www.jupas.edu.hk/en/page/detail/3667/ (accessed on 11 August 2023).
[21] University Grants Committee, “Quality audits of UGC-funded universities,” 2020,
https://www.ugc.edu.hk/eng/qac/quality/first_degree.html (accessed on 13 September 2020).
[22] MOE 中華人民共和國教育部, “教育部批準終止部分中外合作辦學機構和項目” (
Jiaoyubu pizhun zhongzhi bufen Zhongwai hezuo banxue jigou he xiangmu, The Ministry of Education approved the termination of some Chinese-foreign cooperative education institutions and programmes), 4 July 2018,
www.moe.gov.cn/jyb_xwfb/gzdt_gzdt/s5987/201807/t20180704_341980.html (accessed on 1 July 2021).